首页
走进科协
科协简介
领导班子
组织机构
基层科协
科协动态
工作动态
通知公告
政务公开
政策速递
领导信箱
规划计划
提案办理
预决算公开
科普科创科智
科普咸宁
科创咸宁
科智咸宁
科技工作者之家
党建引领
机关党建
党风廉政
专题学习
专题专栏
普法专栏
树立和践行正确政绩观学习教育
申报平台
院士专家工作站申报平台
中国科协系统统计工作网络平台
湖北省科协网上办事服务大厅
全国青少年科技创新服务云平台
当前位置:
首页
>
科协动态
>
通知公告
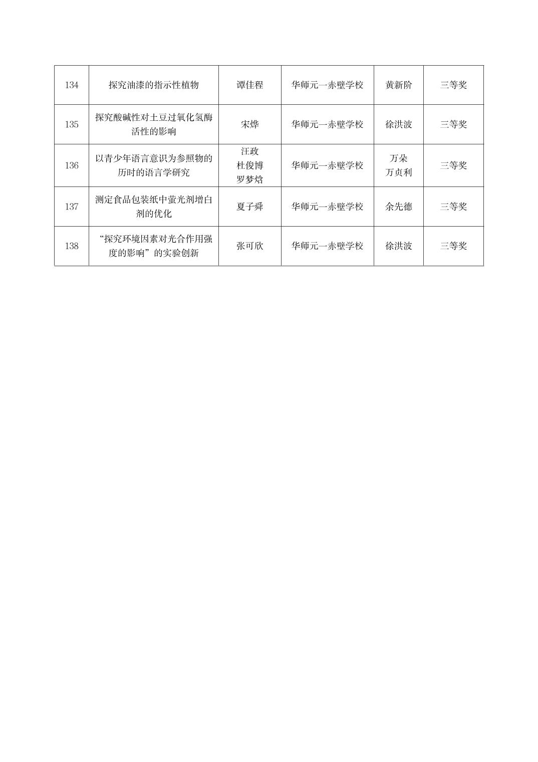
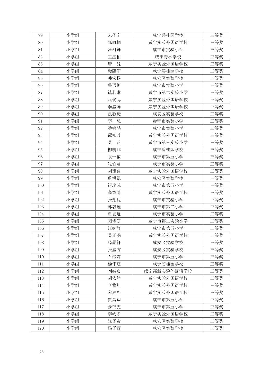
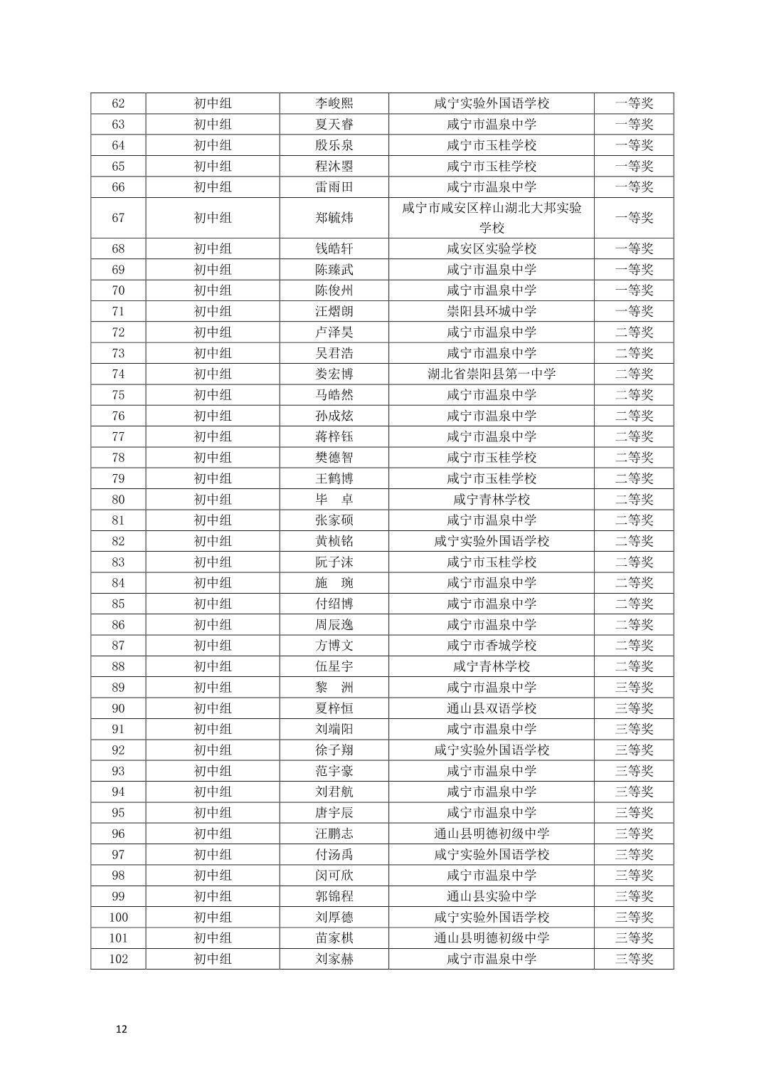
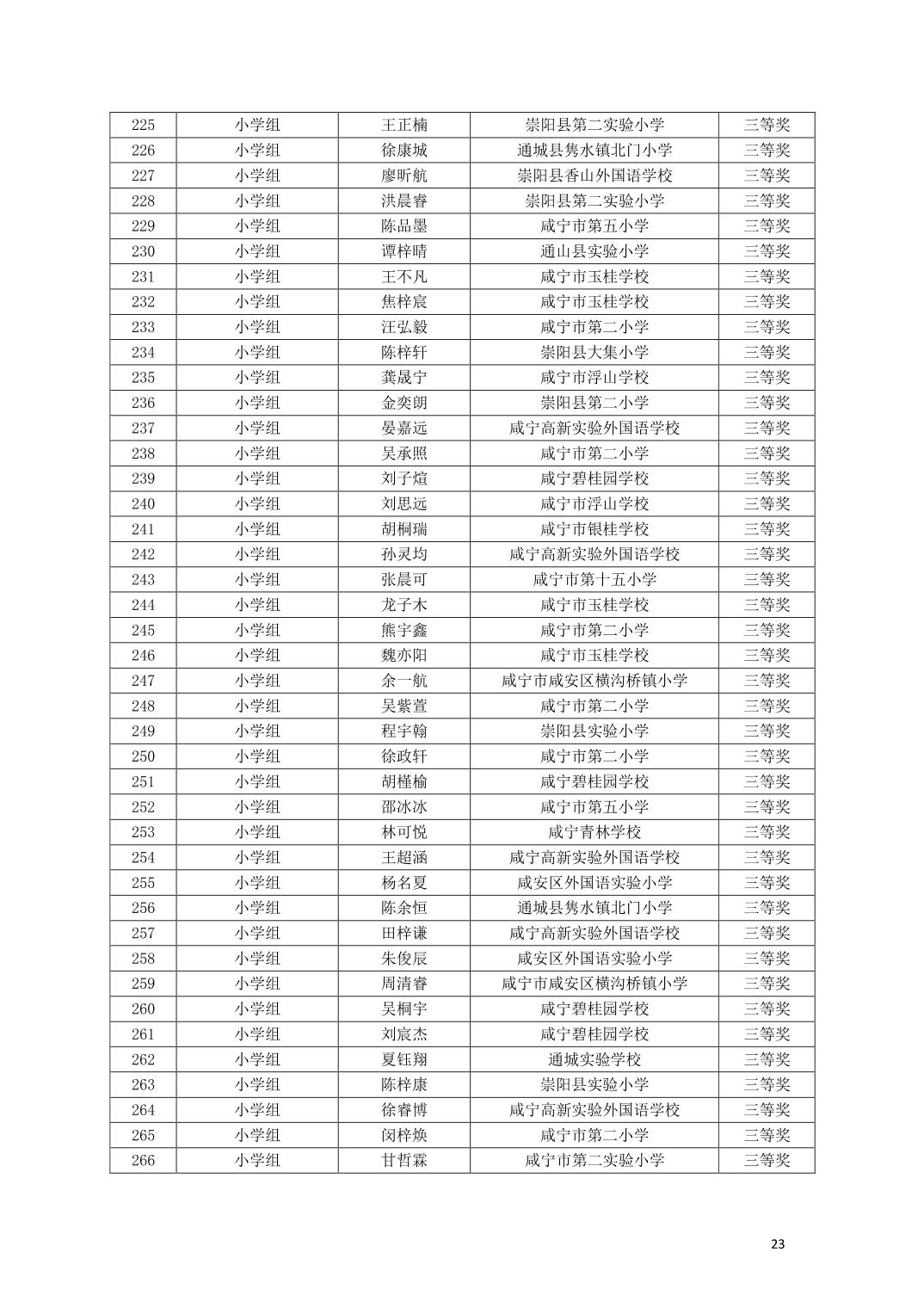
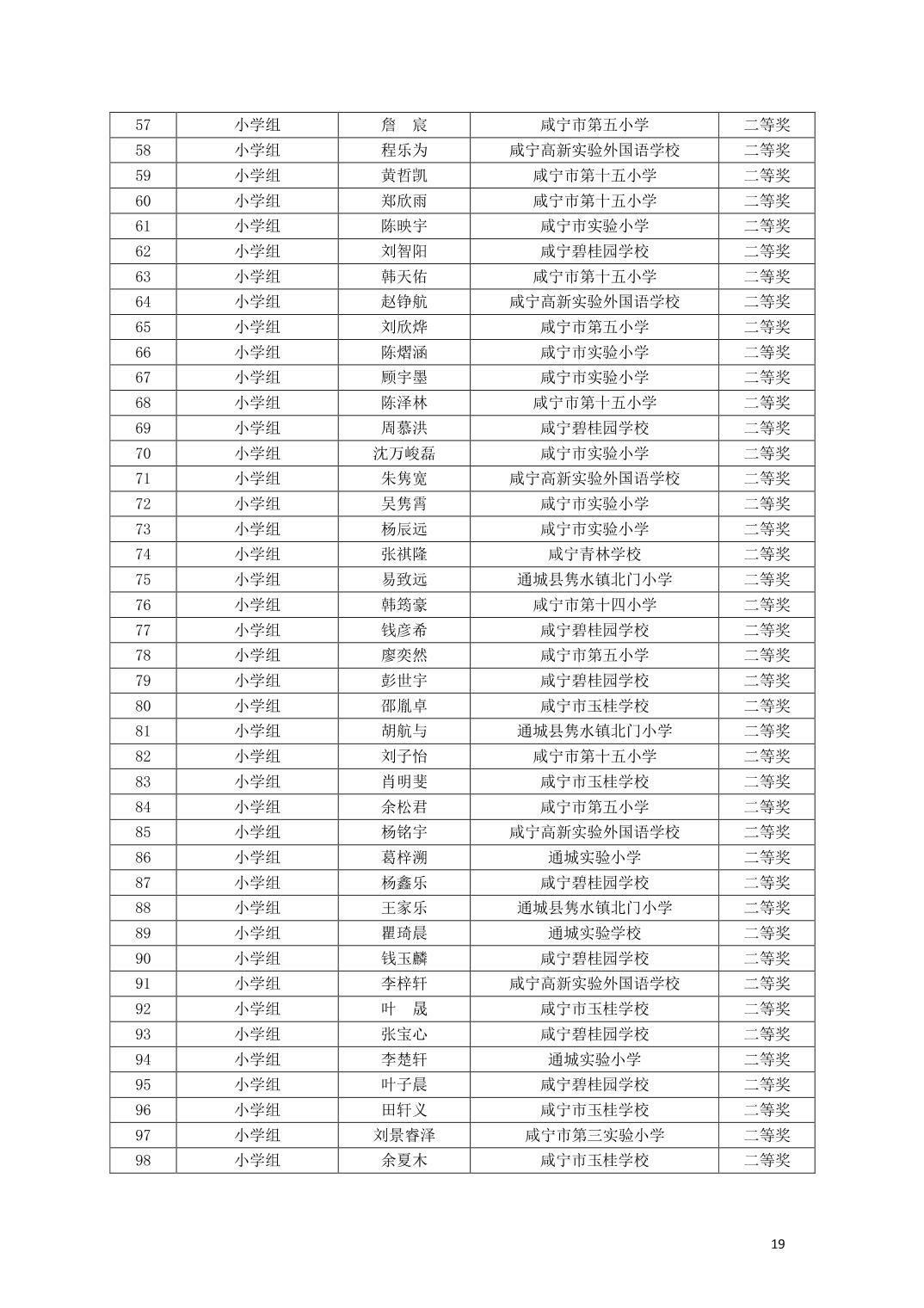
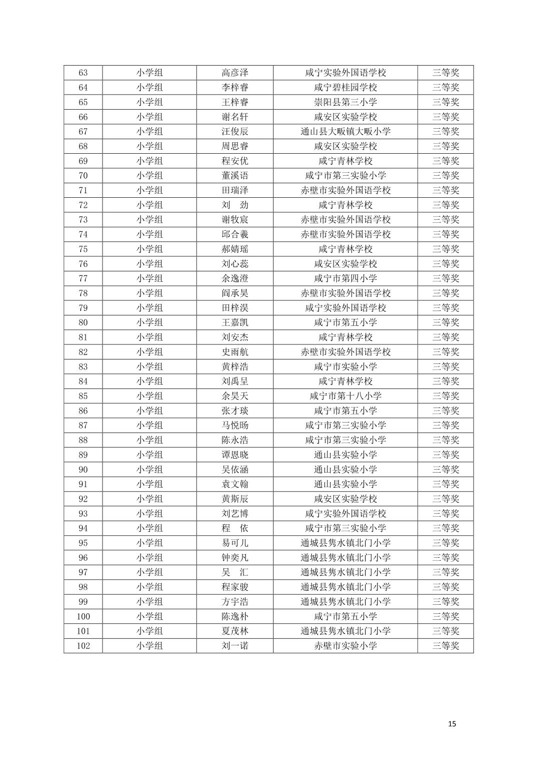
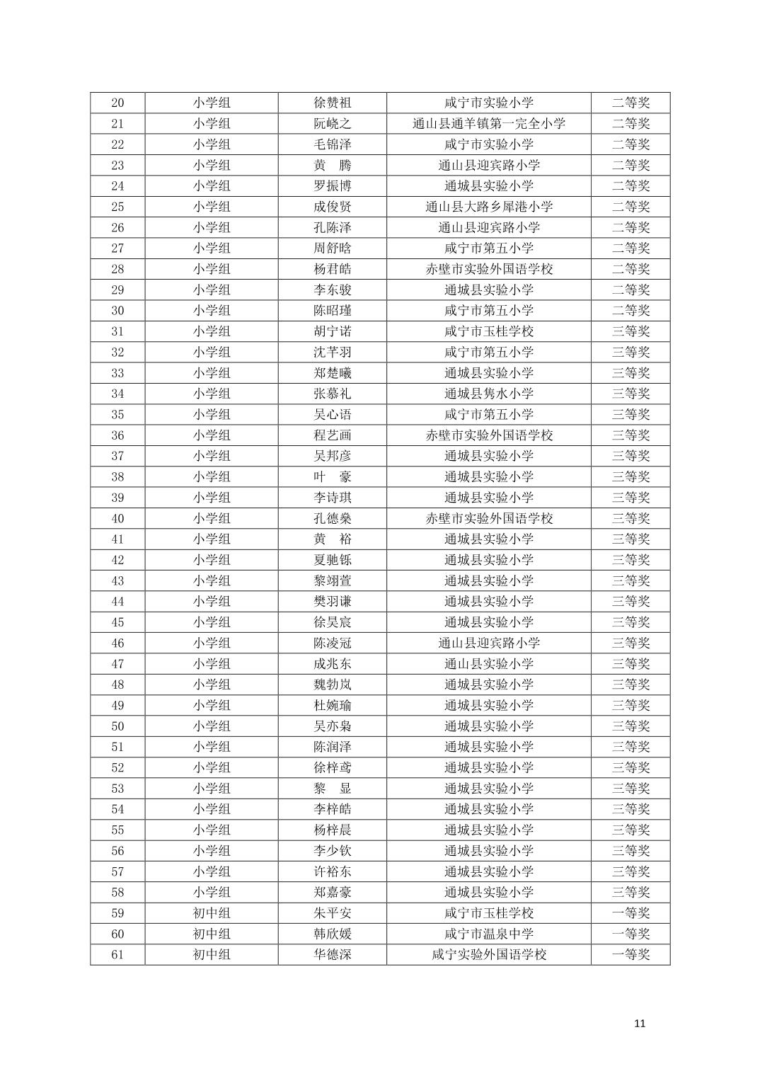
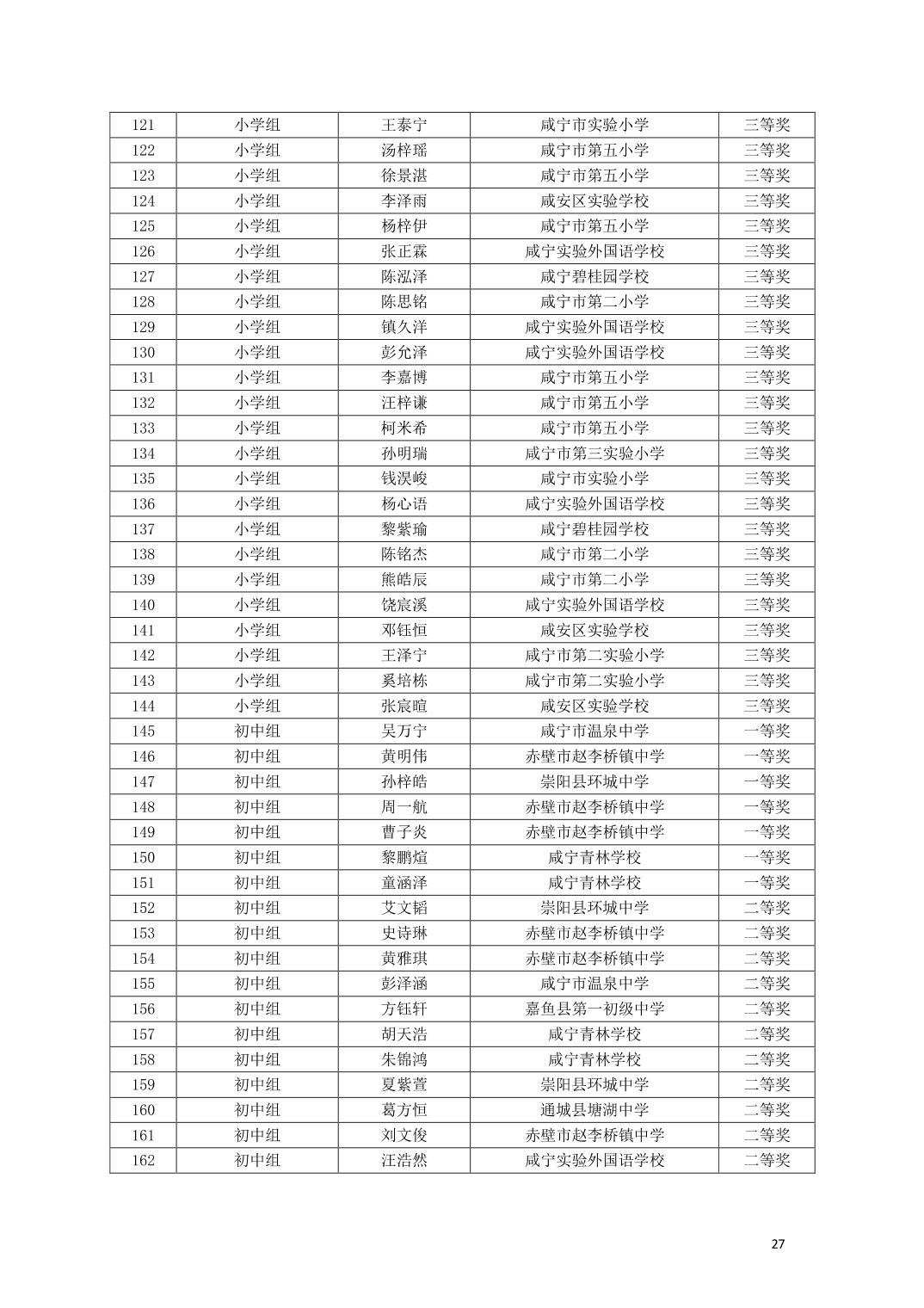
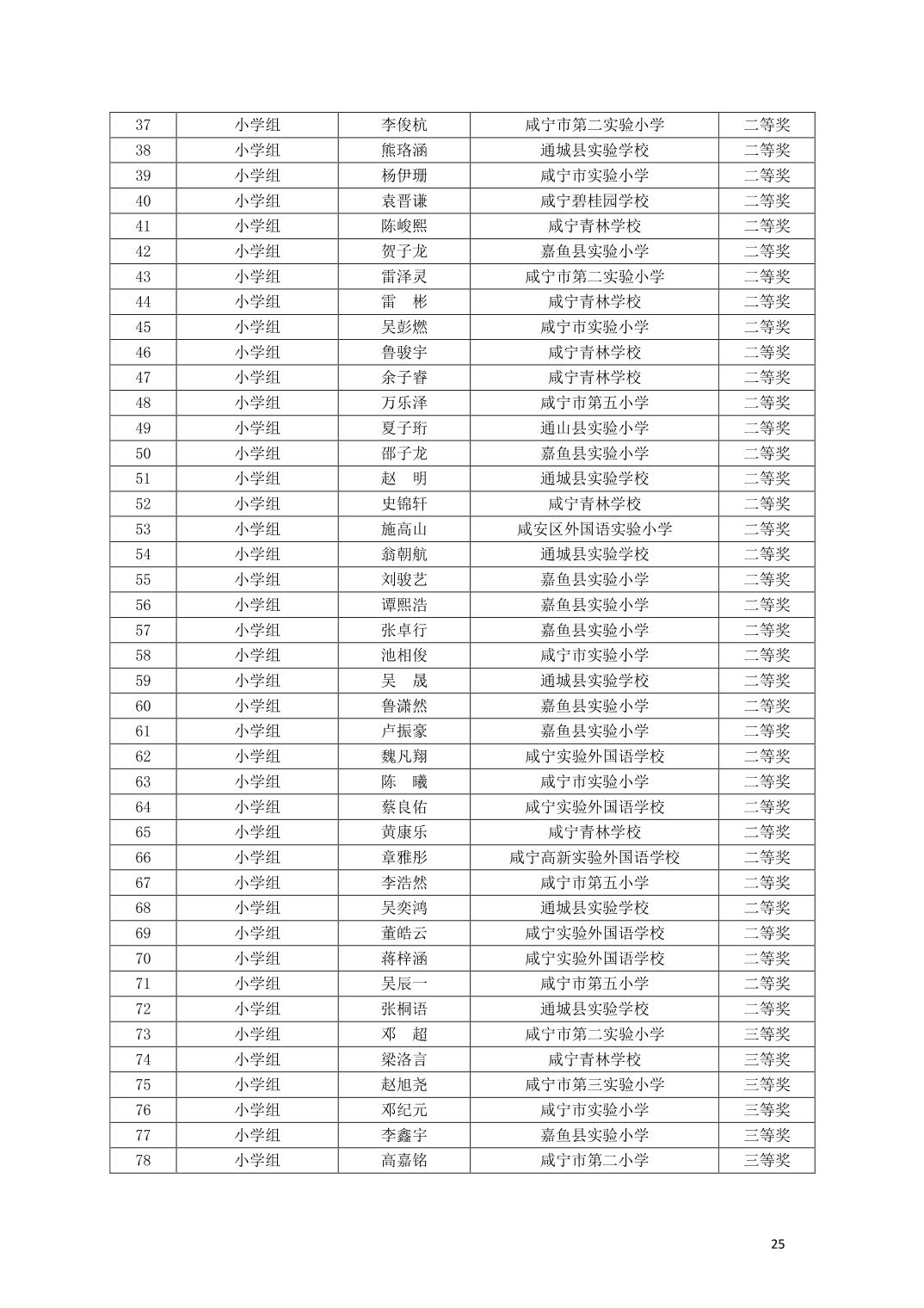
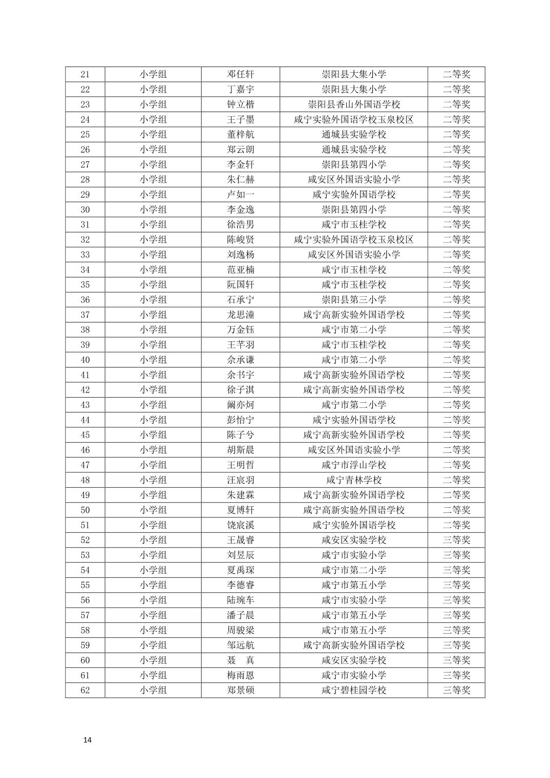
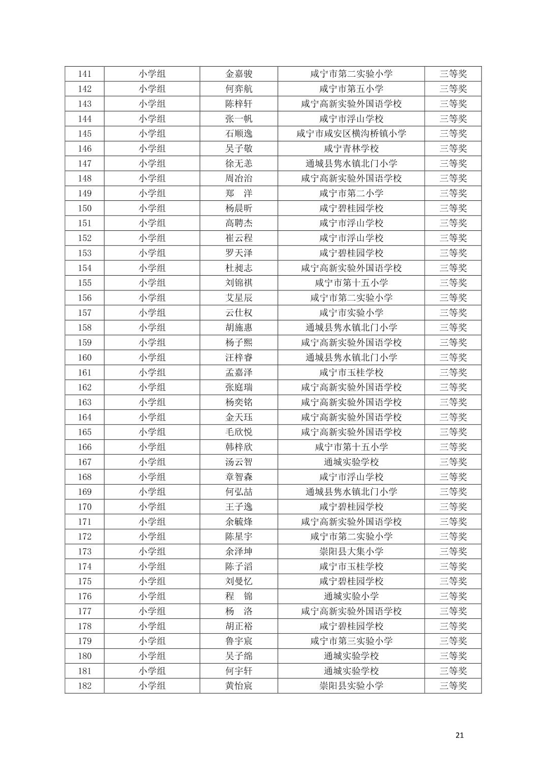
关于公布2025年咸宁市青少年科学文化交流活动青少年科学素养展示活动、青少年科技创新大赛、科普短视频大赛、优秀指导老师、优秀科技教师、优秀组织工作者、优秀组织单位获奖名单的通知
来源:市科协 时间:2025-12-03